[Psychologie] Effet Dunning-Kruger

Comme d’habitude, un article de wikipedia et ensuite…. quelques vidéos & autres sites pour compléter les infos !
L’effet Dunning-Kruger, aussi appelé effet de surconfiance, est un biais cognitif selon lequel les moins qualifiés dans un domaine surestiment leur compétence.
On peut le rapprocher de l’ultracrépidarianisme (voir plus bas).
Ce phénomène a été démontré au moyen d’une série d’expériences dirigées par les psychologues américains David Dunning et Justin Kruger.
Leurs résultats ont été publiés en décembre 1999 dans la revue Journal of Personality and Social Psychology.
Dunning et Kruger attribuent ce biais à une difficulté métacognitive des personnes non qualifiées qui les empêche de reconnaître exactement leur incompétence et d’évaluer leurs réelles capacités.
Cette étude suggère aussi les effets corollaires : les personnes les plus qualifiées auraient tendance à sous-estimer leur niveau de compétence et penseraient à tort que des tâches faciles pour elles le sont aussi pour les autres.
Leur hypothèse fut qu’en observant une compétence présente en chacun à des degrés divers :
- la personne incompétente tend à surestimer son niveau de compétence
- la personne incompétente ne parvient pas à reconnaître la compétence de ceux qui la possèdent véritablement
- la personne incompétente ne parvient pas à se rendre compte de son degré d’incompétence
- si une formation de ces personnes mène à une amélioration significative de leur compétence, elles pourront alors reconnaître et accepter leurs lacunes antérieures.
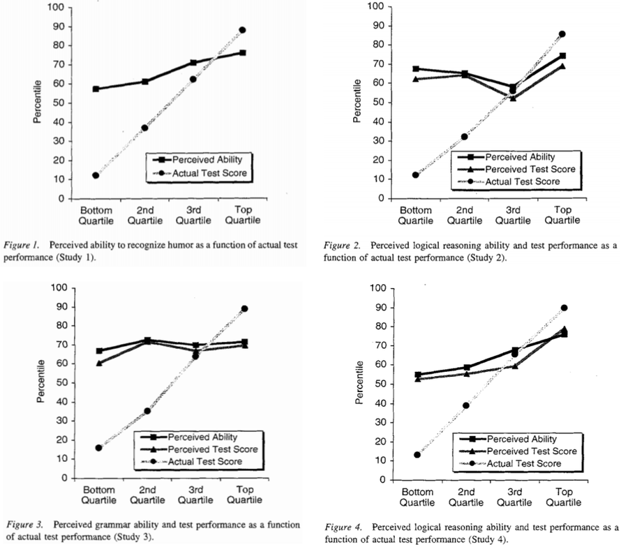
Ces hypothèses ont été testées sur de jeunes étudiants en psychologie de l’université Cornell au travers d’auto-évaluations dans les domaines de la logique et du raisonnement, en grammaire et en humour.
Une fois les tests achevés et les réponses révélées, on a demandé aux sujets d’estimer leurs rangs par rapport au nombre total de participants.
Il en est résulté une estimation correcte de la part des plus compétents et une surévaluation de la part des moins compétents.
Comme l’ont noté Dunning et Kruger :
« Au travers de quatre études, les auteurs ont découvert que les participants situés dans le quartile inférieur pour les tests d’humour, de grammaire et de logique ont largement surestimé leurs performances. Alors qu’ils obtiennent les notes les plus basses, dans le 12e centile, ils ont estimé faire partie du 62e. »
En parallèle, les sujets bénéficiant de véritables compétences ont eu tendance à sous-estimer celles-ci.
Cet effet se vérifierait également auprès des femmes et hommes politiques.
Cet effet pourrait par ailleurs être la cause principale (jusqu’à 30 %) d’erreur de diagnostics médicaux.
Une étude sur des sujets est-asiatiques suggère que pour ces personnes un effet inverse (sous-estimation de sa propre valeur et motivation pour s’améliorer) pourrait être à l’œuvre.
Le recours aux moteurs de recherche sur Internet peut favoriser ce biais, en changeant pour les internautes la manière d’utiliser leur mémoire, dans une démarche d’externalisation appelée « mémoire transactive »
Jacques Pierre Brissot écrit dans le Courrier de Provence (journal de Mirabeau) dans les premiers temps de la Révolution française : « Défiez-vous des hommes qui sont toujours prêts à voler à la tribune, qui s’emparent de toutes les questions, qui se hâtent de décider, de trancher. Le mérite est modeste, le savant doute, et le sage réfléchit avant de parler. »
En 1963, le dialoguiste Michel Audiard, dans le film Les Tontons flingueurs fait dire au personnage de Fernand Naudin (Lino Ventura) une réplique qui est une traduction concise de cet effet : « Les cons ça ose tout. C’est même à ça qu’on les reconnaît. »
En 1974, Jean Gabin chante Maintenant je sais, reprise de But Now I Know, qui décrit l’effet Dunning-Kruger sur une vie.
Ce biais a aussi été popularisé par l’humoriste Coluche dans les années 1980, paraphrasant René Descartes dans un de ses sketchs : « L’intelligence, c’est la chose la mieux répartie chez les hommes n’est-ce pas, parce que, quoi qu’il en soit pourvu, il a toujours l’impression d’en avoir assez, vu que c’est avec ça qu’il juge, hein! »
La citation originale dont Coluche s’inspire est le début de la première partie du Discours de la méthode de Descartes :
« Le bon sens est la chose du monde la mieux partagée : car chacun pense en être si bien pourvu, que ceux même qui sont les plus difficiles à contenter en toute autre chose, n’ont point coutume d’en désirer plus qu’ils en ont. En quoi il n’est pas vraisemblable que tous se trompent ; mais plutôt cela témoigne que la puissance de bien juger, et distinguer le vrai d’avec le faux, qui est proprement ce qu’on nomme le bon sens ou la raison, est naturellement égale en tous les hommes ; et ainsi que la diversité de nos opinions ne vient pas de ce que les uns sont plus raisonnables que les autres, mais seulement de ce que nous conduisons nos pensées par diverses voies, et ne considérons pas les mêmes choses. »
Le terme ultracrepidarian a été utilisé pour la première fois en 1819 par l’essayiste William Hazlitt dans une lettre ouverte à William Gifford.
Son étymologie est relative à la locution latine Sutor, ne supra crepidam signifiant littéralement « Cordonnier, pas plus haut que la chaussure ».
En français, cette locution peut se traduire par « à chacun son métier, les vaches seront bien gardées ».
Combinaison avec l’argument d’autorité
L’ultracrepidarianisme constitue dans certains cas un exemple d’utilisation d’un argument d’autorité.
La maladie du Nobel est ainsi un cas d’ultracrepidarianisme.
Le philosophe des sciences Étienne Klein, à l’occasion de la crise sanitaire de 2020, emploie le terme pour qualifier les expressions assurées de certaines personnes à propos des choix thérapeutiques, au moment même où le consensus scientifique est qu’il n’y a pas de médicament dont l’efficacité est prouvée.
Il relie cela à l’importance des réseaux sociaux, qui permettent à chacun d’exister par ce qu’il affirme, indépendamment de sa compétence attestée.






Je m’excuse donc pour cette erreur T_T (je les laisse quand même pour bien me rappeler que moi aussi je suis sous l’effet Dk dans beaucoup de domaines, même si j’essaie d’apprendre)
[Dunning-Kruger]On peut arrêter de partager une représentation totalement caricaturale de l'effet Dunning-Kruger ?
Je sais pas d'où sort la courbe connaissance-confiance en U que tant partagée, mais les courbes de l'étude initiale ressemblent à ça.https://t.co/7x8Fc1XDlU pic.twitter.com/HOB9NQwQkD— Bunker D (@Bunker_D_) November 5, 2019
J'ai passé un peu de temps, avec quelques autres, à utiliser et diffuser ce genre de rhétorique, et au vu des usages que certains en font aujourd'hui, j'me demande si on s'est pas en effet totalement planté. A-t-on mal vulgarisé tout ça ? https://t.co/6kTzJqxBdn
— Un Monde Riant (@UnMondeRiant) September 7, 2020
Je ne pensais pas le vivre un jour mais oui … ils sont arrivés a faire un méta Dunning-Kruger : un Dunning-Kruger appliqué au concept de Dunning-Kruger
Belle performance https://t.co/X7HEOp49Ls
— Yann Duroc -Sisyphe- les OGM ne sont pas stériles (@DurocYann) September 7, 2020
Mind candy.
Vous faites exactement ce que vous dénoncez, et tordant complètement le DK effect.https://t.co/jZAwi70R41— Evidence Based Bonne Humeur (@Evidencebbh) September 7, 2020
L'étude originelle de Dunning et Kruger présente quelques subtilités par rapport au contenu de cette vidéo : https://t.co/LmcZkdFzlG pic.twitter.com/LLZeCbcdR8
— Florence Dellerie (@FlorenceDell) September 7, 2020
- [Dossier] Les dystopies dans la littérature mais pas que … - 05/04/2026
- Les Carnets de l’Apothicaire - 30/03/2026
- Mr. & Mrs. Smith - 25/03/2026

L’Effet Dunning-Kruger a bien été connu grâce à un Prix Ig-Nobel, si vous voulez en savoir plus …
Dans le top 25 des pages les plus vues du blog pour 2021 !